
全球首个基于代谢组学转化的肝纤维化临床质谱试剂盒——绘云生物肝纤维化与肝硬化风险筛查试剂盒(粤械注准20232401415)核心技术获Cell Reports Medicine验证,“确诊”特异性全面超越FIB-4和目前临床常用检测方法。

.jpg)
全球慢性肝病负担日益沉重,代谢相关脂肪性肝病(MASLD)影响全球约38%人口,我国慢性乙型肝炎病毒(CHB)感染人数约8700万。
肝纤维化是发展为肝硬化乃至肝衰竭的关键病理进程,其早期、准确分期对于指导治疗、改善预后至关重要。

虽然肝穿刺活检是“金标准”,但其有创性、取样误差等限制了临床应用。因此,开发高精度、无创的替代诊断工具,是临床亟待解决的难题。

2026年3月31日,香港大学医学院/上海交通大学医学院附属第六人民医院贾伟教授(绘云生物创始人、欧洲科学院院士)、宁波大学医学院特聘研究员谢国祥博士(绘云生物联合创始人、首席科学家)以及香港中文大学消化疾病全国重点实验室Vincent Wong教授团队联合多家临床中心在Cell Reports Medicine( IF: 10.6)发表最新研究成果,正式公布基于绘云生物核心技术开发的Met-FIB诊断模型临床验证数据。
本研究共纳入4,284名受试者,涵盖CHB与MASLD两种病因,所有病例均经肝活检确诊。研究证实,Met-FIB模型在所有纤维化分期(显著纤维化、进展期纤维化、肝硬化)的诊断准确性上,均显著优于传统的FIB-4指数、FibroScan(瞬时弹性成像)以及其他多种血清学指标(如APRI、NFS、BARD评分)。


亮点1:智能肝纤维化分级评估系统核心算法
Met-FIB是绘云生物肝纤维化与肝硬化风险筛查试剂盒及配套AI软件LiveForest®的核心技术基础。该模型在FIB-4参数基础上,创新性整合通过代谢组学发现的两种关键小分子代谢物——酪氨酸(Tyrosine)和牛磺胆酸(Taurocholic acid),并采用先进的TabPFN机器学习算法构建六指标诊断体系。
这一技术突破源于绘云生物二十余年代谢组学科研积累,依托全球首个且数据量最大的临床表型组学数据库,通过自主研发的Q300代谢芯片技术筛选验证,最终锁定酪氨酸(Tyr)与牛磺胆酸(TCA)作为核心代谢标志物。

绘云生物临床表型组学数据库
酪氨酸反映肝细胞代谢功能障碍,牛磺胆酸通过激活肝星状细胞促进纤维化进程,两者结合FIB-4经典参数,实现了从"临床指标"到"机制驱动"的跨越。
亮点2:“排除”与“确诊”能力双优
(1)在CHB患者中(验证队列729例):
- 显著纤维化(≥S2):排除敏感性96.3%,确诊特异性85.4%。
- 进展期纤维化(≥S3):确诊特异性高达98.6%。
- 肝硬化(S4):确诊特异性98.8%。
.png)
图注:验证队列2中Met-FIB与两个代谢物及FIB-4的ROC和AUPRC值比较
(A-D)ROC曲线;(E-H)对应的AUPRC值(柱状图)。
分别展示:(A、E)CHB患者与对照组的鉴别;
(B、F)显著纤维化与早期纤维化的鉴别;
(C、G)进展期纤维化与非进展期纤维化的鉴别;
(D、H)肝硬化与非肝硬化纤维化的鉴别。
数据呈现95%置信区间。统计显著性:*p<0.05,**p<0.01,***p<0.001。
缩写:ROC,受试者工作特征曲线;AUPRC,精确率-召回率曲线下面积;CHB,慢性乙型肝炎;Tyr,酪氨酸;TCA,牛磺胆酸;FIB-4,纤维化-4指数。
(2)MASLD患者中(验证队列304例):
显著纤维化(≥S2):排除敏感性93.9%,确诊特异性90.2%。
进展期纤维化(≥S3):确诊特异性100%(队列3)和98.0%(队列4)。
当FIB-4敏感性仅16.1-18.2%时,Met-FIB仍保持35.5-61.8%的敏感性,同时维持98%以上特异性。
(3)临床辅助诊断性能全面优于常规检测方法:
- vs FIB-4:在MASLD队列中,对于进展期纤维化Met-FIB敏感性提升2-3倍,灰区比例从47.7%降至18.1%。
- vs FibroScan:Met-FIB对进展期纤维化的确诊特异性更高(98.0% vs 84.8%),可作为弹性成像的“守门员”,有效减少假阳性。
- vs APRI/NFS/BARD:在敏感性与确诊特异性上全面优于传统评分系统。

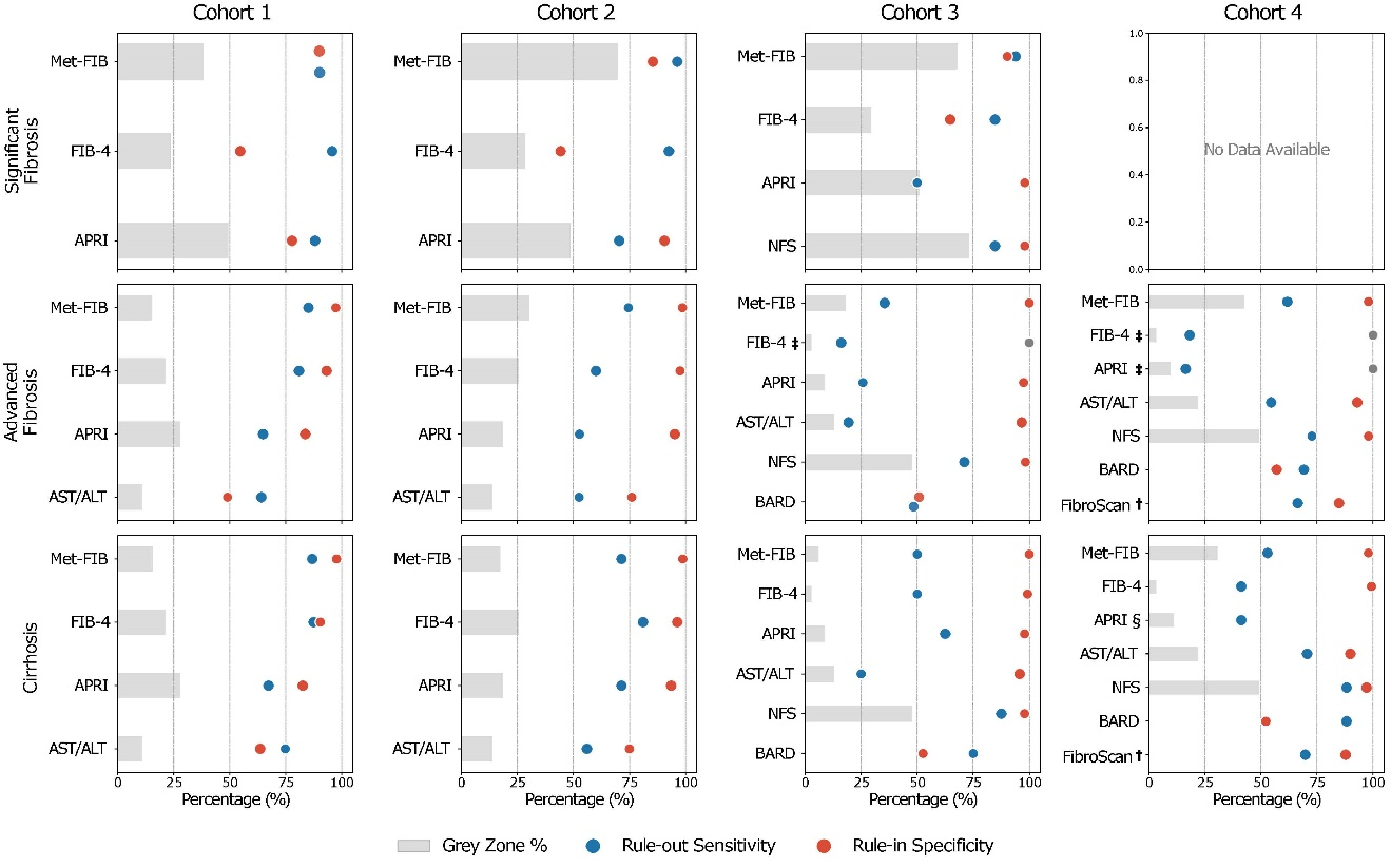
图注:Met-FIB与各对照指标在队列1-4中的诊断性能比较
蓝色圆圈:排除敏感性;红色圆圈:确诊特异性;灰色条带:灰区比例。FibroScan采用单一截断值方法。确诊特异性(100%)基于有限样本(见灰色圆圈):APRI≥1.500(队列4,n=2);FIB-4≥3.250(队列4,n=6;队列3,n=5)。由于无样本超过确诊截断值(队列4肝硬化APRI>2.0),特异性不可计算。
缩写:CHB,慢性乙型肝炎;FIB-4,纤维化-4指数;APRI,天冬氨酸氨基转移酶与血小板比值指数;AST/ALT,天冬氨酸氨基转移酶与丙氨酸氨基转移酶比值;NFS,NFS,非酒精性脂肪性肝病纤维化评分;BARD,BMI-AST/ALT比值-糖尿病评分。
(4)跨病因普适性:FIB-4、APRI等传统指标在CHB与MASLD中往往需要采用不同的诊断阈值,而Met-FIB采用统一截断值体系,在两大病因中均表现良好,无需依据病因调整阈值,临床应用更为简便。
.jpg)
绘云生物,作为全球领先的代谢组学技术创新公司与临床转化平台,始终致力于将前沿的代谢组学科研成果转化为惠及大众的临床诊断产品。
公司依托自主知识产权的精准定量代谢组学技术,构建了从标志物发现、方法开发、到试剂盒注册报批及产业化的完整体系。绘云生物的肝纤维化与肝硬化风险检测试剂盒正是这一体系的成功典范,目前已获得中国NMPA批准上市(注册号:粤械注准20232401415),服务于国内数百家医疗机构。
.jpg)
此次Cell Reports Medicine文章的发表,不仅是对酪氨酸和牛磺胆酸作为肝纤维化核心标志物价值的国际认可,更是对绘云生物以临床价值为导向的研发路径和产品力的有力证明。随着这项研究成果的传播与应用,绘云生物的肝病精准诊断解决方案将为更多肝病患者带来更早、更准、更无创的诊疗体验。
.jpg)
科学研究的突破,最终是为了照亮临床实践的道路。顶级期刊的背书,让绘云生物在肝病无创精准诊断领域的步伐更加坚实。未来,绘云生物将继续深耕代谢组学,推动更多创新诊断产品落地,为“健康中国”贡献科技力量。
- 本研究由香港大学医学院/上海交通大学医学院附属第六人民医院贾伟教授、宁波大学医学院特聘研究员谢国祥博士以及香港中文大学消化疾病全国重点实验室Vincent Wong教授作为共同通讯作者完成。
- 香港大学医学院陈沅苑博士和杨天标博士为本文共同第一作者。
- 参考文献:Chen Y, Yang T, Chen T, et al. A metabolite-augmented FIB-4 machine learning panel achieves superior liver fibrosis staging in chronic liver disease. Cell Reports Medicine, 2026.
- 原文链接:https://www.cell.com/cell-reports-medicine/fulltext/S2666-3791(26)00143-6
你可能会有兴趣的文章
害怕肝穿刺?无创诊断非酒精性脂肪性肝病肝纤维化的新方法来了
非酒精性脂肪性肝病(NAFLD),是中国最常见的慢性肝病之一,是肝脏代谢综合征的表现,影响着4亿多国人的健康。从肝脏本身损害来说,NAFLD可以引起脂肪性肝炎、肝纤维化、肝硬化甚至肝癌;从肝外损害来说,它可以引起高脂血症、高尿酸血症、高血压、糖尿病、冠心病、中风等。 准确可靠地评估NAFLD患者的肝纤维化程度是临床上一个非常重要的问题。绘云生物开发的LiveFbr集成互联网工具,可通过相关参数值,无创、智能地诊断NAFLD患者的肝纤维化早期和晚期程度。 当前NAFLD患者肝纤维化诊断方法 评估NAFLD患者的肝纤维化程度,对疾病预后具有重要意义。当前,肝穿刺活检仍是诊断NAFLD患者肝纤维化进展的金标准,由于其有创性、不宜反复进行等固有缺点,这种侵入性诊断不能大规模在人群中进行。 在过去的十多年中,有许多基于血液标志物的非侵入性方法,在一些国家和地区被推荐作为诊断肝纤维化和肝硬化的辅助方法,但这些技术仍有很多突破空间,还需要进一步研究和验证,以找到更简单、易行和准确性高的诊断技术和方法。 随着生物医学数据量的增加和人工智能的普及,机器学习方法已被积极用于开发各种疾病状态评估工具,有助于研究出更准确的非侵入性的检测方法,对疾病监测和治疗发挥着至关重要的作用,绘云生物LiveFbr应运而生。 LiveFbr—NAFLD肝纤维化评估新方法 绘云生物研究团队应用先进的机器学习方法,开发了一个套用于生物学研究和临床应用的集成互联网工具LiveFbr,可无创评估NAFLD肝纤维化程度,患者输入相关参数值可即时获得评估结果。 LiveFbr核心是:首先,基于发现集样本血液标志物,根据筛选出的参数集构建逻辑回归(Logistic Regression简称LR)评分模型,进一步在独立的数据集上验证模型的有效性。 在此研究中,共有784名经肝活检确诊的NAFLD早期和晚期肝纤维化患者,他们分别来自中国(n=540)、马来西亚(n=147)和印度(n=97),分为3个独立队列,参与LR模型的构建和验证。 LR模型的构建与验证 在此模型参数的选择上,通过以下两个步骤来选择最佳参数集: 首先,通过逻辑回归、ROC和假设检验的方法进行临床参数的预选,18个参数中有14个通过筛选,它们分别是年龄、性别、AST、ALT、AST/ALT比值、AST/PLT比值、DM/IFG、PLT、BMI 、FBG(空腹血糖)、GGT(γ-谷氨酰转肽酶)、TG(甘油三酯)、LDL(低密度脂蛋白)、HbA1c(糖化血红蛋白)。 其次,使用参数数量与auPR+auROC的值、准确性、F1得分进行权衡,选择出8个最优参数,包括年龄、ALT、BMI、DM/IFG、FBG、GGT、TG、AST/PLT比值。 最后,根据发现的最优参数集,构建了一个逻辑回归(LR)模型来区分NAFLD患者的早期和晚期纤维化。 通过数据表明,与FIB-4和NFS相比,该LR模型的诊断性能最佳。 另外,将LR模型与其它机器学习方法,如随机森林(RF)和梯度提升(GB)进行比较,用最优参数集分别建立了LR、RF和GB模型,验证集的结果显示, LR模型比RF和GB模型具有更高的auROC、auPR和灵敏度值。在模型独立性评估上,也进一步证实了LR模型的可靠性。 总的来说,研究团队通过784名参与者的三个独立数据集评估建立的逻辑回归模型(LR)用于区分早期和晚期肝纤维化的性能。结果显示,该模型的性能与一些机器学习的诊断方法能力相当并且优势明显。该研究也具有一定的局限性: 不同病因的慢性肝病患者纤维化进展方式不尽相同,因此该研究所建立的LR模型不能直接用于其他慢性肝病患者。此外,还需要开发相应的诊断工具,对各种病因的慢性肝病患者的不同血液的参数模式进行检测。 纵向研究也是必要的,这样才可以进一步验证当前发现的有效性和稳定性。 该研究所建立的LR模型仅对东南亚的样本进行验证,在临床应用之前,有必要在更多不同人群中作进一步验证。 团队发表的相关参考文献 : Chao Sang, Hongmei Yan, Wah Kheong Chan, Xiaopeng Zhu, Tao Sun, Xinxia Chang, Mingfeng Xia, Xiaoyang Sun, Xiqi Hu, Xin Gao, Wei Jia, Hua Bian, Tianlu Chen, Guoxiang Xie. Diagnosis of fibrosis using blood markers and logistic regression in Southeast Asian patients with nonalcoholic fatty liver disease. Front. Med. - Translational Medicine. 2021, 8: 637652.
绘云生物糖尿病风险筛查产品,为改善患者生活而不断创新
近日,绘云生物独家研发的用于糖尿病风险预测、治疗和评价的方法和试剂盒,先后获得美国和日本的专利授权。这一知识产权的获准表示绘云生物在产品自主研发、创新能力及附加值等方面又增添了新的竞争力。 这种基于代谢标志物的早期风险筛查技术,一旦应用到临床,糖尿病和糖尿病相关疾病的防治理念与模式或将被改变。 自成立以来,绘云生物一直专注于代谢性疾病、慢性肝病、结直肠癌等肿瘤的早筛和检测领域,依托自身十多年在代谢组学和临床质谱方面的积累,结合大数据和人工智能,已经顺利打造了包括肝病检测在内的多项核心产品。 糖尿病来势汹汹 IDF(国际糖尿病联盟)数据显示 截至2019年,在20至79岁的人群中 全球共有约4.63亿糖尿病患者 中国患病人数约1.16亿为全球第一 图中数据来源于IDF 另外全球约50%为未诊糖尿病患者 这些人没有明显的糖尿病症状 若不早发现,及时干预 将增加糖尿病并发症的风险 现代医学虽然还不能根治糖尿病 但人类同疾病做斗争的步履不停 糖尿病早发现、早干预是关键 糖尿病是一组以高血糖为特征的代谢性疾病。高血糖则是由于胰岛素分泌缺陷或其生物作用受损,或两者兼有引起。身患糖尿病时长期存在的高血糖,会导致各种组织,特别是眼、肾、心脏、血管、神经的慢性损害、功能障碍。 只要能有效控制血糖,糖尿病本身并不可怕,真正可怕的是由糖尿病引起的各种并发症,并发症会给患者造成多方面的、严重的及终身性的危害。 临床认为,只有通过糖尿病防治的前移,才能对糖尿病病情做出更有效的动态监控,并防范恶性糖尿病并发症的发生,从而降低糖尿病的危害,真正改善患者的生活。 采用少量血液 快速筛查糖尿病高风险人群 正是基于糖尿病防治现状,绘云生物研究团队在过去十年里,参与开展了世界上最大规模的糖尿病大型队列组学研究,覆盖10万人群样本,由此研发出的糖尿病风险筛查试剂盒,不仅在糖尿病前期比传统血糖检测更具灵敏度,提高检测效率,还为快速筛查糖尿病高风险人群提供了新的技术方法和研究思路。 绘云生物糖尿病风险筛查试剂盒 可预见的是,通过代谢组学方法遴选的糖尿病早期预警标志物,能实现糖尿病前期检测的高准确性,可提早5-10年实现糖尿病的有效预测和病情的有效动态监控,并将糖尿病转变为可控的慢性疾病。 试剂盒筛查出的该阶段的糖尿病高风险人群,有充足的时间改掉不良生活习惯,阻止或延缓Ⅱ型糖尿病的发生;也可通过适当的药物干预,阻止或延缓糖尿病并发症的发生与发展,从而达到提高生活质量的最终目的。 糖尿病风险筛查试剂盒五大优势 绘云生物研发的糖尿病风险筛查试剂盒,能将现有的糖尿病防控模式,从控制血糖治疗转变为防糖尿病和控糖尿病并发症相结合的新模式,可以降低糖尿病病人日常治疗支出,降低并发症的发生率,是一项真正造福全社会的重大创新技术。 日前,有美国业界同行(全球最大的独立医学实验室之一)对绘云生物拥有的一系列诊断技术表示了浓厚的兴趣,正在积极寻求与绘云生物的合作。 未来,绘云生物将继续坚持从临床需求出发,从患者的角度出发,不断进行产品的优化与升级。为真正改善患者生活,扬帆起航的绘云生物正在加足马力向前进。
一图读懂代谢组学界好帮手Q300试剂盒
绘云生物+AI:在慢性肝病早筛上精准发力
绘云生物以创新的AI辅助诊断软件和集成互联网工具,推动慢性肝病等疾病早期筛查的便捷化、高效化和规模化。 在信息化、数字化的互联网时代,人工智能技术不断发展,并被应用于多种场景,医疗健康领域也不例外。 绘云生物以先进的机器学习算法,结合大规模临床样本数据,开发出多款AI辅助诊断软件和集成互联网工具,推动慢性肝病等疾病早期筛查的便捷化、高效化和规模化。 AI+医疗:疾病预防和治疗新趋势 任何疾病越早发现并开始治疗,治愈率和预后效果将越好。然而,现代人工作繁忙、对潜在健康问题的忽视、传统检查方式在早期筛查准确率低等,使得部分疾病未能在早期发现,一拖再拖不断恶化,病情最终走向不可挽回的地步。 通过机器学习、分析大量医疗数据,智能诊断疾病,是“AI+医疗”的主要落地场景之一。 在传统检查模式下,医生需要对人群100%进行疾病筛查,但如果先经过AI早筛,排除80%或以上的健康人群,医生只负责对20%的重点人群进行复核,则能极大提高诊断效率,也有利于大规模人群筛查。 此外,AI经过大量样本的病例训练,精确程度可以与资深专家相比,辅助临床医生更准确、更快速地发现早期疾病,推动患者早筛早诊早治。 除了辅助疾病早筛,AI可应用于精准外科手术、医药研发、数字化健康管理等。在AI加持下,医疗行业可以实现更广的技术覆盖,有助于提升整个行业的精细度、专业度。 绘云生物运用AI助力慢性肝病防治 肝癌,一般人自身很难感知,当身体出现明显异常时已是晚期。 其实肝脏从脂肪肝、脂肪性肝炎、肝纤维化、肝硬化最终发展成肝衰竭、肝癌,需要漫长的过程,而肝纤维化作为其中可逆转的关键环节,如果能被及时诊断和进行干预治疗,将把肝癌扼杀于摇篮之中。 绘云生物研究团队独家开发了三款针对慢性肝病的AI辅助诊断软件:LiveBoost®慢性肝病风险计算、LiveForest®肝纤维化和肝硬化风险计算和LiveFat®肝脂肪变性风险计算软件。 这些软件应用智能深度学习领域主流的决策树模型、随机森林模型和梯度提升树模型构建出智能肝病判读系统,操作界面友好,可批量、快速检测大量样本并输出结果,有助于大规模人群早期肝病精准筛查。 LiveBoost®慢性肝病风险计算软件 在慢性肝病(CLD)的研究中,基于临床指标如天门冬氨酸氨基转移酶(AST),丙氨酸氨基转移酶(ALT)和血小板计数(PLT)等作为肝纤维化的非侵入性分期方法也被广泛研究。 LiveBoost®在上述临床指标基础上筛选出相关指标,构建了全新的数学模型,因采用的指标是肝病常规检测项,受检者可直接在LiveBoost®上输入数据,便可快速获取肝纤维化和肝硬化风险分级结果和辅助诊断报告。 绘云生物采集了3000多例临床样本,历时10多年的研究,经过与受检者肝穿刺结果的比对验证,LiveBoost®对于肝纤维化、肝硬化的灵敏度和特异性均大于90%,可直接反应肝功能的参数,能精准检测正常、轻度、中度和重度肝纤维化及肝硬化。 LiveForest®肝纤维化和肝硬化风险计算软件 LiveForest®与绘云生物独家研发的慢性肝病检测试剂盒配套使用,基于LiveBoost®的检测指标,新增了代谢物指标,可更精准地判断受检者肝纤维化和肝硬化的风险程度。 LiveFat®肝脂肪变性风险计算软件 病理学上的显著肝脂肪变、影像学诊断的脂肪肝是非酒精性脂肪性肝病(NAFLD)的重要特征,肝脂肪变及其程度与肝脏炎症损伤和纤维化密切相关,可预测代谢综合征(MetS) 和二型糖尿病(T2DM)的发病风险。 磁共振波谱分析(MRS)能够检出5%以上的肝脂肪变,准确性很高,缺点是花费高和难以普及。 绘云生物通过采集大规模慢性肝病人群的血液样本,应用单维和多维的统计学分析,确定了用于辅助诊断脂肪肝分级的指标,以梯度提升树模型建立了可评估肝脂肪变性风险的LiveFat®。 3款AI辅助诊断软件都使用MySQL数据库保存用户信息、输入指标数据、预测记录等,数据库样本量大,有利于强化机器学习训练,提升诊断精确度。 另外,绘云生物研究团队还开发了集成互联网工具LiveFbr,可无创评估非酒精性脂肪性肝病(NAFLD)肝纤维化程度(点此查看文章《害怕肝穿刺?无创诊断非酒精性脂肪性肝病肝纤维化的新方法来了》)。 “上医治未病”疾病预防是关键!绘云生物希望通过检测精准、操作简便的AI辅助诊断软件和互联网工具,促使更多“表面健康”的人士对潜在健康风险有所意识,能在疾病早期得到有效治疗。




